鉅大鋰電 | 點擊量:0次 | 2018年05月15日
鋰離子電池輔材水性粘結劑SBR、CMC-Na怎么樣?
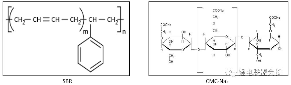
水性粘結劑SBR、CMC-Na:
1)簡介:SBR是應用最廣泛的水性粘結劑,SBR是丁苯橡膠的英文縮寫,極易溶于水和極性溶劑中,具有很高的粘結強度以及良好的機械穩定性和可操作性,用在電池業作為粘結劑,粘結劑效果良好,質量穩定。
CMC-Na:羧甲基纖維素鈉,是當今世界上使用范圍最廣、用量最大的纖維素種類。是葡萄糖聚合度為100~2000的纖維素衍生物,相對分子質量242.16。白色纖維狀或顆粒狀粉末。無臭,無味,無味,有吸濕性,不溶于有機溶劑。

2)粘結機理:SBR表面的基團與銅箔表面的基團發生縮合反應形成化學鍵。SBR乳液本身是一個親水性和疏水性平衡的產物,一方面通過疏水性將石墨有機結合,另一方面通過親水性基團和銅箔表面基團發生縮合反應。而CMC-Na作為一種穩定劑、懸浮分散劑,對SBR具有輔助的粘結作用,同時也可讓SBR分散的更加均勻,同時利用空間電荷的排斥作用保證整個體系的穩定。
3)合成方法以及檢測參數
SBR的合成方法:SBR是由1,3-丁二烯(CH2=CH-CH=CH2)、苯乙烯(C6H5-CH=CH2)合成而來,一般有乳液聚合和溶液聚合兩種方法;通過調整二者的比例,可以得到一系列的不同交聯度以及不同玻璃化溫度(一個是發生形變的溫度,一個是狀態從玻璃態向高彈態的轉變溫度)的產品。

乳液聚合:早期是用過硫酸鉀作引發劑,在50℃下使丁二烯與苯乙烯進行自由基乳液聚合制得,俗稱熱膠,目前仍有少量生產。20世紀50年代開始,工業生產中普遍將聚合溫度降低到5℃,基本產品是SBR1500,俗稱冷膠。冷膠的生產是把丁二烯單體分散在松香皂或脂肪酸皂作乳化劑的水乳液中,用硫醇作分子量調節劑,加入由有機過氧化物、亞鐵鹽和活化劑組成的氧化-還原引發體系進行自由基聚合。乳液聚合是在多個串聯的釜中連續進行,轉化率控制在65%左右。未反應的丁二烯和苯乙烯相繼用臥式閃蒸槽和蒸餾塔脫除后,經精制再重新使用。脫除了未反應單體的共聚物乳液用氯化鈉、氯化鈣和酸等凝聚,生成的橡膠經振動篩與乳清分離,再經脫水、干燥,即得成品。與熱膠相比,冷膠的支化和交聯程度低,凝膠及低分子量的含量大大減少,性能顯著改善,所以基本上取代了熱膠。
溶液聚合:以丁基鋰為催化劑,在非極性溶劑中合成的丁苯橡膠。、溶液聚合丁苯橡膠分嵌段共聚物(即熱塑性橡膠)和無規共聚物兩類。溶液聚合丁苯橡膠在共聚合過程中,有自發形成聚苯乙烯嵌段的傾向,為了合成苯乙烯在主鏈上無規分布(即不含聚苯乙烯嵌段)的共聚物,可采取連續補加單體、90~150℃高溫聚合,以及添加醚、叔胺、亞磷酸鹽、硫化物或表面活性劑作無規劑等措施。溶液聚合無規丁苯橡膠的分子量分布比乳液聚合丁苯橡膠窄,支化度也低。為了減輕生膠的冷流傾向,需在共聚過程中添加二乙烯基苯或四氯化錫作交聯劑,使聚合物分子間產生少量交聯。還可以將分子量不同的共聚物摻混,使分子量分布加寬。溶液聚合無規丁苯橡膠的頂式-1,4異構體含量為35%~40%,耐磨、撓曲、回彈、生熱等性能比乳液聚合丁苯橡膠好,擠出后收縮小,在一般場合可代替乳液丁苯橡膠,特別適宜制淺色或透明制品,也可以制成充油橡膠。
CMC的合成方法:



原料主要來源于自然界的棉花、秸稈、木材等等,其關鍵參數有黏度、取代度、純度等參數。

取代度(DS)是指脫水葡糖糖單元上的平均羥基值。如果三個羥基都被取代,那么DS理論最大值為3.0,上圖分別是取代度為0.7和1.2時的狀態,取代度越高,親水性越強,同時也容易吸水,根據需要選擇合適的CMC作為負極的粘結助劑和分散劑。
這里需要說明的是,SBR和CMC的共同使用是一個長期的積累的結果,作用是相互補充、缺一不可的。
CMC和SBR在實際鋰電池石墨負極負極中是相互互補,缺一不可,是工業界長期實踐積累的結果。如果單純使用CMC作為粘接劑,條件是極片厚度較薄,不進行滾壓工藝或者對極片的壓實密度不高的情況下;在實際極片中,因為能量密度的要求,石墨極片必須滾壓,而且壓實密度大,這種情況下是不能單獨使用CMC粘接劑的,因為CMC是脆性的,滾壓后結構就坍塌,極片掉粉嚴重,不能使用;另外,也不能單獨使用SBR作為粘接劑,因為很難制備漿料,SBR沒有不具備懸浮分散功能,漿料會發生沉降嗎,同時太多的SBR也會使得極片在電解液中溶脹;而CMC和SBR同時使用就可以基本解決上面提到的問題,因為石墨材料本身是不親水的,很難在水系中分散,使用CMC的一個作用就是作為分散劑,分散石墨和導電添加劑,另外CMC在水會形成凝膠,使得漿料變稠,大規模涂覆時,因為凝膠結構的存在,既能保水份又能穩定漿料,在一定時間內能夠保持漿料的均勻性,有利于大規模生產;同時引入SBR,因為SBR乳液是溶于水的,SBR本身是柔性材料,具有較好的粘接性能,這樣極片在高壓實的情況下,極片不會掉粉,滾壓后的極片粘接強度也高。










