鉅大鋰電 | 點擊量:0次 | 2018年06月14日
探討動力電池NCM622材料高溫衰降機理
隨著鋰離子電池比能量的不斷提高,對正負極材料的比容量要求也越來越高,傳統的LiCoO2材料容量僅為140mAh/g左右,無法滿足新一代高比能電池的需求,而日漸瘋狂鈷價成為了壓死LCO最后一根稻草。因此人們將目光轉向了容量更高,價格也更加有優勢的NCM材料,相比于LCO材料,NCM材料比容量得到了大幅提升(NCM622材料的容量可達170-180mAh/g左右),同時因為使用的Co大大減少,因此在價格上NCM也要比LCO材料具有明顯的優勢,這些讓NCM成為鋰離子動力電池的新寵。但是NCM材料仍然存在一個嚴重的問題——高溫循環性能不佳,在高溫下NCM材料容量衰降大大加速,嚴重影響鋰離子電池的使用壽命。

近日上海復旦大學的SiyangLiu等人針對NCM622材料在55℃下高溫循環的機理進行深入的研究。研究表明NCM622材料在高溫和高電壓循環的過程中其表層的金屬陽離子會發生嚴重的混排現象,導致電荷交換阻抗顯著增加。此外高溫和高電壓循環還會加劇LiPF6在電極表面的分解,增加LiF和NiF2的含量,造成電極/電解液界面阻抗的增加。

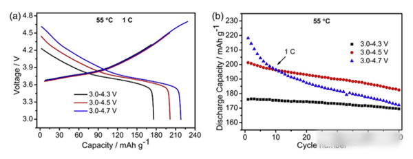
SiyangLiu首先利用固相法合成了NCM622材料,XRD圖譜顯示合成的NCM622材料具有發育良好的層狀a-NaFeO2結構。下圖a為SiyangLiu合成的NCM622材料在不同的截止電壓情況下的首次充放電曲線,從圖中可以看到隨著截止電壓逐漸提高到4.3V、4.5V和4.7V,材料的容量分別達到了176、201.3和218.1mAh/g,雖然更高的截止電壓能夠帶來更高的容量,但是也會造成NCM622材料的循環性能極速下降。從下圖b中可以看到當截止電壓分別為4.3V、4.5V和4.7V時,NCM622材料在55℃下循環50次容量保持率分別為96.3%、90.7%和78.9%,可以看到截止電壓對于NCM622材料的循環性能具有重要的影響。

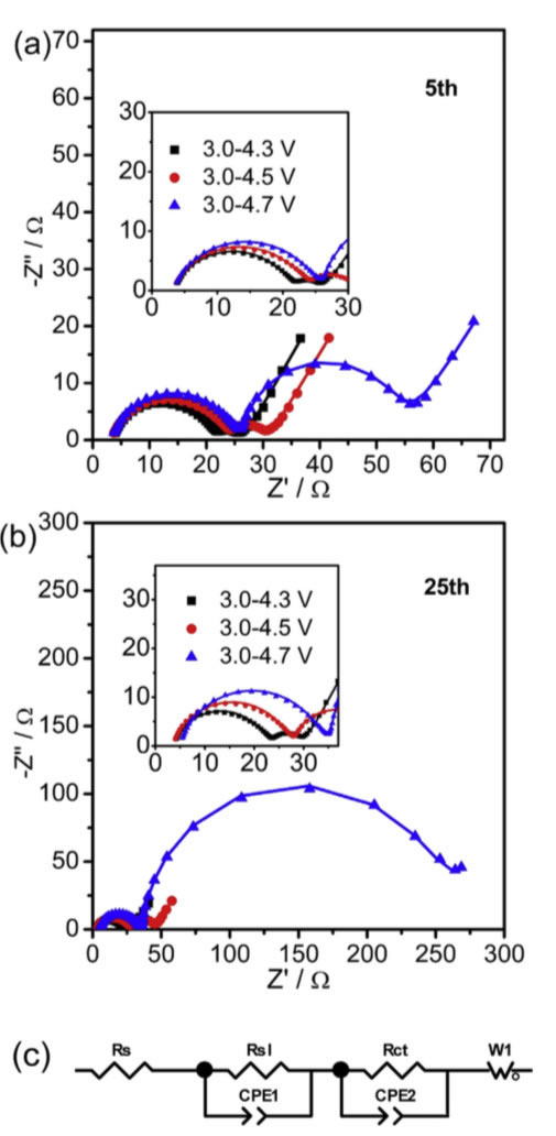
對不同截止電壓下NCM622材料的衰降機理研究發現,較高的截止電壓會顯著增加NCM622材料的界面電阻。下圖為不同截止電壓下和不同循環次數后的NCM622材料的EIS分析結果,可以看到所有的曲線都是由兩段圓弧和一段直線組成,這表明材料表面存在兩個界面:電解液在NCM622材料表面分解形成了一層界面膜。SiyangLiu利用下圖c中的等效電路對EIS結果進行了擬合,SiyangLiu認為Rs1為界面膜的阻抗,Rct為電荷交換阻抗。當截止電壓分別為4.3V、4.5V和4.7V時材料的Rs1分別為17、20和21.6W,而在循環25次后Rs1則分別增加到了18.7、23.4和28.2W,這表明較高的截止電壓會造成NCM622材料的界面膜的生長和重建,從而增加界面電阻。
循環過程電荷交換阻抗Rct變化更加顯著,從圖中能夠看到截止電壓為4.3V時循環25次NCM622材料的Rct僅僅發生了輕微的增加,但是截止電壓為4.5V和4.7V時循環25次后材料的Rct分別增加了2倍和8倍。這可能是因為更高的截止電壓導致NCM622材料脫出了更多的Li,因此導致了材料的Li/Ni混排的增加和材料的不可逆相變,導致材料的電荷交換阻抗的增加。

EIS分析表明材料的界面阻抗增加與材料的容量衰降存在密切的關系,但是這其中的作用機理我們仍然不清楚。下圖為新電極和不同電壓下循環后的電極的SEM圖片,我們可以看到經過循環后電極表面的裂縫數量出現了明顯的增加,特別是在較高的截止電壓下循環后的電極表面的裂縫變的更加嚴重。電極表面的這些裂縫會導致部分活性物質失去與Al箔、導電網絡的連接,造成活性物質的損失,從而導致部分的容量衰降。


通常我們認為副反應主要發生在電極/電解液界面處,因此電極/電解液界面更容易受到侵蝕,因此SiyangLiu通過HRTEM對不同電壓下循環后的NCM622材料表層進行了檢測。通過高分辨率的TEM圖像我們注意到新的NCM622具有發育良好的晶體結構,在4.3V截止電壓下循環50次后,NCM622材料的主體仍然保持了發育良好的層狀結構,但是在材料的表面能觀察到部分區域出現了過渡金屬離子混排的現象。當截止電壓提高到4.5V、4.7V后材料的晶體結構衰降變的更加嚴重,從圖中能夠看到在高的截止電壓下過多的Li脫出導致金屬陽離子進入到Li層,這會阻擋Li的擴散通道,減少Li的活性點位,導致界面電荷交換阻抗的增加和可逆容量的衰降,這與之前的EIS分析結果相一致。
同時值得注意的是在較高的截止電壓下,經過循環后能夠在材料表面觀察到一些孔洞,這主要是因為在較高的截止電壓下材料中的O釋放和過渡金屬的溶解。
針對電極/電解液界面阻抗Rs1的增加機理,SiyangLiu采用XPS對NCM622材料的表面進行了分析,發現在經過循環后電解液分解產物出現了顯著的增加。特別是LiF在4.3V截止電壓下循環后電極表面的LiF含量為8.9%,但是當截止電壓提高到4.5V和4.7V后電極表面的LiF含量則升高到了14.9%和17%,同時通過XPS分析我們還發現電極表面在循環后NiF2的含量顯著的增加,這表明電解液在NCM622材料表面的分解過程是伴隨著過渡金屬元素的溶解的,SiyangLiu認為這主要是因為LiPF6分解產生的HF對NCM622材料產生腐蝕,造成過渡金屬元素的溶解。

SiyangLiu的工作表明NCM622材料在高溫和較高的截止電壓下循環會造成電極表面的材料中的過渡金屬元素與Li混排的增加,造成NCM622材料表層晶體結構的衰變,導致電荷交換阻抗增加和可逆容量降低。在高溫和高電壓下循環還會造成LiPF6在電解表面的分解,造成NCM622材料表面LiF和NiF2含量的增加,導致NCM622材料的電極/電解液界面阻抗增加。
上一篇:電池的容量和體積有什么關系
下一篇:電池保護板原理是什么意思










